Eemiano a.k.a. Riss-Würm 2.0
![]() |
| Dutton et al. 2015 |
Le temperature della superficie degli oceani nell’ultimo periodo interglaciale - il periodo Eemiano o Riss-Würm, compreso fra 129.000 e 116.000 anni fa - erano molto simili a quelle di oggi. Un dato preoccupante, visto che allora il livello dei mari era superiore di 6-9 (±1) metri rispetto a quello attuale (vedi anche qui e qui). Lo spiegano i ricercatori guidati da Jeremy Hoffman, della Oregon State University di Corvallis, in uno studio uscito qualche settimana fa su «Science».
Con circa un grado in più rispetto alle temperature medie globali che avevamo un secolo fa (quando queste erano circa un grado in meno di quelle odierne), l'ultimo periodo interglaciale, in effetti, si pensa che sia stato tanto caldo come quello attuale (vedi immagine sotto: di questo passo, entro fine secolo raggiungeremo il picco termico degli ultimi 5.300.000 anni, ad inizio/metà Pliocene!).
![]() |
| Hansen et al. 2013 |
Questo periodo rappresenta, quindi, un utile punto di riferimento per validare i modelli climatici globali e capire la risposta del livello dei mari al riscaldamento climatico.
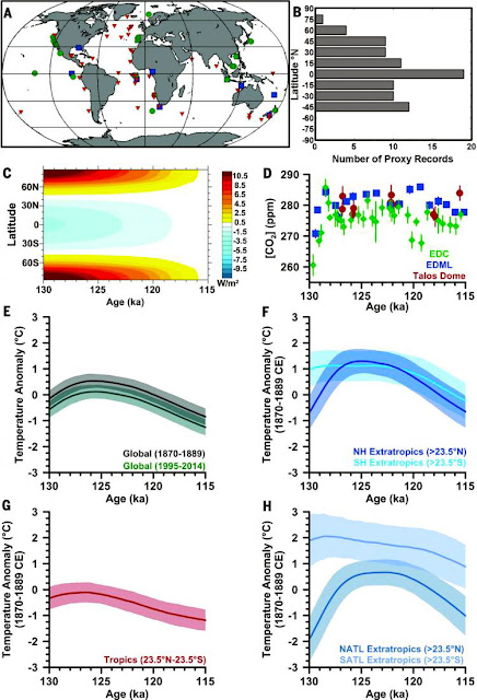
![]() |
| Hoffman et al. 2017 |
Ricordiamo velocemente - per i "senior scientists" con un'expertise nel clima pari a quella che un pesce può avere nella bicicletta - le condizioni generali forzanti, di natura orbitale, dell'ultimo periodo interglaciale:
Ricordiamo altresì - sempre per i soliti savant, obv. - la grande inerzia del livello degli oceani nei confronti dell'andamento termico globale, in particolare a causa della lenta risposta da parte delle calotte glaciali groenlandese e soprattutto antartica. E pure - sempre per loro - che l'attuale velocità accelerante con la quale aumenta il livello dei mari è un fenomeno che, su scale temporali secolari/millenarie, è già al di fuori della variabilità naturale dell'intero Olocene e nettamente più rapida che negli ultimi due millenni.




Vedo che ti manco, anonimo "climatologo" dei miei due.
RispondiEliminaMa non ti faro' il favore, oltre a questo mio corto messaggio, di portare traffico su questo tuo insulso blog.
Un saluto dalla "torrida" provenza, dove ci sono almeno 5 gradi meno della media stagionale.
Mi manca eccome, caro effendi.
RispondiEliminaSaluti anche a lei e mi raccomando: si copra con sciarpe e cappelli.
Si sa mai che magari, nel caso, la racconti una volta giusta (a meno che non sia un bel pesce):
http://www.cpc.ncep.noaa.gov/products/analysis_monitoring/regional_monitoring/wctan1.png
http://models.weatherbell.com/climate/ncep_cfsr_europe_t2m_week_anom.png
Eggia'... Mentre tu ti fai le branlettes mentales con i dati taroccati, omogeneizzati, karlizzati, etc.. del NOAA io sono costretto a mettere maglione e giubbotto a Aix en Provence il primo d'aprile... chi mai avra' ragione? Vai 'effendi' , pascola.
RispondiEliminaPasso e chiudo.
Si metta maglione, giubbotto, sciarpa e cappello a 15 gradi, mi raccomando. Che arriva la nuova era glaciale, brrrr.
Eliminahttps://www.meteoblue.com/fr/meteo/prevision/archive/aix-en-provence_france_3038354
https://www.meteoblue.com/fr/meteo/archive/export/aix-en-provence_france_3038354
https://it.climate-data.org/location/358/
Vedo che non perde occasione per sparare balle.
Si chiama pinocchite acuta. Brutta malattia. Vada a farsi curare, mi raccomando.
Post davvero interessante per la ricostruzione climatologica del passato non tanto recente. Come al solito la quantità di dati scientifici poco trattati da altri blog ne rende assai valida la lettura a parte la polemica con lo pseudoclimatologo di turno.
RispondiEliminaSe fosse possibile mi piacerebbe capire un po' di più perché a quanto mi sembra di capire in tutto il piacere non si sono avute glaciazioni e queste sono partite a metà circa del pleistocene
Grazie per l'interesse. Sulla questione che sollevi, ci scrivo presto un post.
EliminaOttimo.Non mi resta che ringraziare in anticipo per il prossimo post.
EliminaErrata corrige: il correttore automatico ha scritto "piacere" al posto di "pliocene".
RispondiEliminaMi manca eccome
RispondiEliminapesce d'aprile
Touché :-D
Elimina